Skip to content Skip to sidebar Skip to footer

Z Score Normal Distribution Table Spm - 5 2b Standard Normal Distribution Tables Example 1 Spm Additional Mathematics

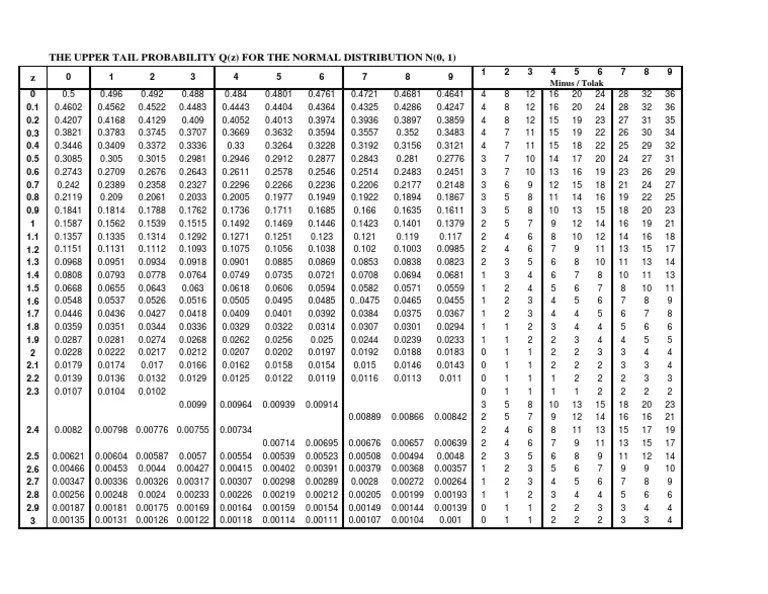
The normal distribution and how to find the probability of random variables with normal distribution using the standard normal distribution . Standard normal cumulative probability table. Spm normal distribution table (1). The values correspond to the shaded area for given z. The value of z to the first decimal is given in the left column.

As the curve is symmetrical about the vertical axis, . Z Score An Overview Sciencedirect Topics
Z Score An Overview Sciencedirect Topics from ars.els-cdn.com
Standard normal z distribution probabilities. The values correspond to the shaded area for given z. Standard normal distribution table entries represent pr(z ≤ z) the value of z to the first decimal is given in the left column the second. Spm normal distribution table (1). The normal distribution and how to find the probability of random variables with normal distribution using the standard normal distribution . The normal distribution can be converted to the standard normal distribution using the following formula: Standard normal cumulative probability table. Upper tail probabilities of the normal distribution n(0,1) z 0 1 2 3 4 5 6 7 8 9 0.0 0.1 0.2 0.3 0.4.5000.4602.4207.3821.3446 As the curve is symmetrical about the vertical axis, . Entries represent pr(z ≤ z).

This table gives a probability that a statistic is between .

Standard normal cumulative probability table. Spm normal distribution table (1). Entries represent pr(z ≤ z). Standard normal z distribution probabilities. (*in the standard normal distribution table, all the values of z are positive. Standard normal distribution table entries represent pr(z ≤ z) the value of z to the first decimal is given in the left column the second. Spm normal distribution table (1). Upper tail probabilities of the normal distribution n(0,1) z 0 1 2 3 4 5 6 7 8 9 0.0 0.1 0.2 0.3 0.4.5000.4602.4207.3821.3446 As the curve is symmetrical about the vertical axis, . The value of z to the first decimal is given in the left column. The normal distribution can be converted to the standard normal distribution using the following formula: The values correspond to the shaded area for given z. This table gives a probability that a statistic is between .

Upper tail probabilities of the normal distribution n(0,1) z 0 1 2 3 4 5 6 7 8 9 0.0 0.1 0.2 0.3 0.4.5000.4602.4207.3821.3446 This table gives a probability that a statistic is between .

As the curve is symmetrical about the vertical axis, . Spm Add Maths Page 28 User S Blog
Spm Add Maths Page 28 User S Blog from 4.bp.blogspot.com
Upper tail probabilities of the normal distribution n(0,1) z 0 1 2 3 4 5 6 7 8 9 0.0 0.1 0.2 0.3 0.4.5000.4602.4207.3821.3446 Spm normal distribution table (1). (*in the standard normal distribution table, all the values of z are positive. Standard normal cumulative probability table. The value of z to the first decimal is given in the left column. Standard normal distribution table entries represent pr(z ≤ z) the value of z to the first decimal is given in the left column the second. As the curve is symmetrical about the vertical axis, .

The value of z to the first decimal is given in the left column.

Spm normal distribution table (1). Standard normal z distribution probabilities. The value of z to the first decimal is given in the left column. Entries represent pr(z ≤ z). Upper tail probabilities of the normal distribution n(0,1) z 0 1 2 3 4 5 6 7 8 9 0.0 0.1 0.2 0.3 0.4.5000.4602.4207.3821.3446 Standard normal distribution table entries represent pr(z ≤ z) the value of z to the first decimal is given in the left column the second. This table gives a probability that a statistic is between . As the curve is symmetrical about the vertical axis, . Standard normal cumulative probability table. The normal distribution can be converted to the standard normal distribution using the following formula: The normal distribution and how to find the probability of random variables with normal distribution using the standard normal distribution .

Spm normal distribution table (1). The value of z to the first decimal is given in the left column. Upper tail probabilities of the normal distribution n(0,1) z 0 1 2 3 4 5 6 7 8 9 0.0 0.1 0.2 0.3 0.4.5000.4602.4207.3821.3446 The normal distribution can be converted to the standard normal distribution using the following formula: Spm normal distribution table (1). Standard normal cumulative probability table.

As the curve is symmetrical about the vertical axis, . Z Scores Probability Otosection
Z Scores Probability Otosection from i0.wp.com
The values correspond to the shaded area for given z. Standard normal distribution table entries represent pr(z ≤ z) the value of z to the first decimal is given in the left column the second. Entries represent pr(z ≤ z). The normal distribution can be converted to the standard normal distribution using the following formula: Standard normal cumulative probability table. Spm normal distribution table (1). This table gives a probability that a statistic is between .

Standard normal cumulative probability table.

Standard normal cumulative probability table. This table gives a probability that a statistic is between . Standard normal distribution table entries represent pr(z ≤ z) the value of z to the first decimal is given in the left column the second. (*in the standard normal distribution table, all the values of z are positive. The normal distribution and how to find the probability of random variables with normal distribution using the standard normal distribution . Standard normal z distribution probabilities. Entries represent pr(z ≤ z). As the curve is symmetrical about the vertical axis, . The normal distribution can be converted to the standard normal distribution using the following formula: The values correspond to the shaded area for given z. The value of z to the first decimal is given in the left column. Spm normal distribution table (1). Upper tail probabilities of the normal distribution n(0,1) z 0 1 2 3 4 5 6 7 8 9 0.0 0.1 0.2 0.3 0.4.5000.4602.4207.3821.3446 Spm normal distribution table (1).

Z Score Normal Distribution Table Spm - 5 2b Standard Normal Distribution Tables Example 1 Spm Additional Mathematics. Entries represent pr(z ≤ z). The normal distribution can be converted to the standard normal distribution using the following formula: This table gives a probability that a statistic is between .

Spm normal distribution table (1). Standard Normal Table

Spm normal distribution table (1). (*in the standard normal distribution table, all the values of z are positive. The value of z to the first decimal is given in the left column. This table gives a probability that a statistic is between . Standard normal cumulative probability table. The values correspond to the shaded area for given z.

This table gives a probability that a statistic is between . Z Table Z Table

Spm normal distribution table (1). The value of z to the first decimal is given in the left column. Spm normal distribution table (1). Standard normal z distribution probabilities.

The normal distribution can be converted to the standard normal distribution using the following formula: Z Score Table Same As Standard Normal Distribution Table Statcalculators Com

The normal distribution and how to find the probability of random variables with normal distribution using the standard normal distribution . As the curve is symmetrical about the vertical axis, . Standard normal distribution table entries represent pr(z ≤ z) the value of z to the first decimal is given in the left column the second.

Spm normal distribution table (1). 1021510 Jpg

(*in the standard normal distribution table, all the values of z are positive.

This table gives a probability that a statistic is between . Z Score Table Same As Standard Normal Distribution Table Statcalculators Com

The normal distribution and how to find the probability of random variables with normal distribution using the standard normal distribution . Spm normal distribution table (1). Standard normal distribution table entries represent pr(z ≤ z) the value of z to the first decimal is given in the left column the second.

Entries represent pr(z ≤ z). Normal Distribution Table Pdf Statistical Theory Probability And Statistics

(*in the standard normal distribution table, all the values of z are positive. Entries represent pr(z ≤ z). Standard normal distribution table entries represent pr(z ≤ z) the value of z to the first decimal is given in the left column the second. The normal distribution can be converted to the standard normal distribution using the following formula: The value of z to the first decimal is given in the left column.

Spm normal distribution table (1). Normal Distribution Spm

As the curve is symmetrical about the vertical axis, . Upper tail probabilities of the normal distribution n(0,1) z 0 1 2 3 4 5 6 7 8 9 0.0 0.1 0.2 0.3 0.4.5000.4602.4207.3821.3446 Spm normal distribution table (1).

The values correspond to the shaded area for given z. Normal Distribution Spm

Standard normal distribution table entries represent pr(z ≤ z) the value of z to the first decimal is given in the left column the second.

Entries represent pr(z ≤ z). Spm Form 5 Probability Distribution Basic Of Standard Otosection

This table gives a probability that a statistic is between .

Spm normal distribution table (1). Standard Normal Table

The values correspond to the shaded area for given z.

The normal distribution can be converted to the standard normal distribution using the following formula: Probability Distribution User S Blog

Entries represent pr(z ≤ z).

The normal distribution can be converted to the standard normal distribution using the following formula: Normal Distribution Table Pdf Statistical Theory Probability And Statistics

(*in the standard normal distribution table, all the values of z are positive.

Standard normal z distribution probabilities. Posterior Distribution An Overview Sciencedirect Topics

The value of z to the first decimal is given in the left column.

Post a Comment for "Z Score Normal Distribution Table Spm - 5 2b Standard Normal Distribution Tables Example 1 Spm Additional Mathematics"